• Предмет: Математика
  • Автор: Gangster322
  • Вопрос задан 8 лет назад

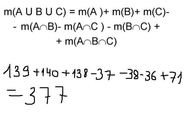
На олимпиаде по математике было предложено три задачи. Первую задачу решили 139 учащихся, вторую задачу - 140 учащихся, третью задачу - 138 учащихся, первую и вторую - 37 учащихся, первую и третью - 38, вторую и третью - 36, не менее двух задач решили 71 учащихся. Сколько учащихся решили хотя бы одну задачу?

Ответы

Ответ дал: VladislavFF
0

Эта задача на применение формулы включений и исключений 3 множеств.

Ответ: 377

Приложения:
Вас заинтересует