• Предмет: Математика
  • Автор: 47inorilove47p5d92v
  • Вопрос задан 8 лет назад

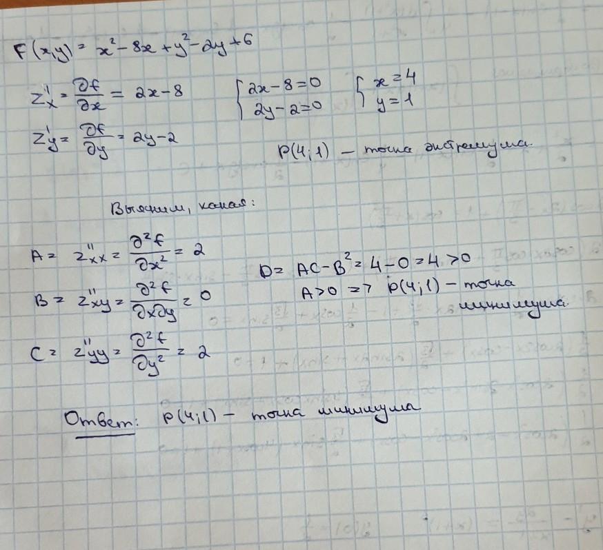
для функций z= F(x,y) найти точки экстремума

F(x,y) = X^2-8x+y^2-2y+6

Ответы

Ответ дал: Miroslava227
0

Ответ:

решение на фотографии

Приложения:
Вас заинтересует