• Предмет: Математика
  • Автор: NikaKorotkova
  • Вопрос задан 8 лет назад

HEIP
Кто сможет решить?
Даю максимальный балл~

Приложения:

Ответы

Ответ дал: snopikvova629
0

Ответ:

Пошаговое объяснение:

вот

Приложения:
Ответ дал: milena233380
0
помоги с вопроосм пж
Ответ дал: NikaKorotkova
0
Пасиибоо
Ответ дал: takushnir
0

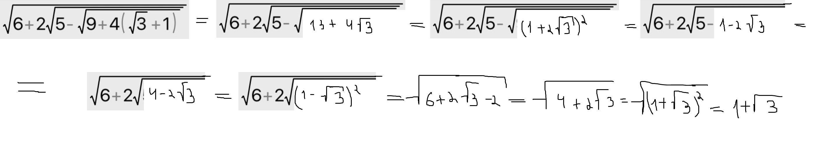
1.√ (9+4(√3+1)=9+4√3+4=13+4√3)=√(1+2√3)²=I1+2√3I=1+2√3

2.√(5-(1+2√3))=√(5-1-2√3)=√(4-2√3)=√(√3-1)²=I√3-1)I=√3-1

3. √((6+2(√3-1))=√(6+2√3-2)=√(4+2√3)=√(1+√3)²=I1+√3I=1+√3

Приложения:
Вас заинтересует