Найти производную функции:
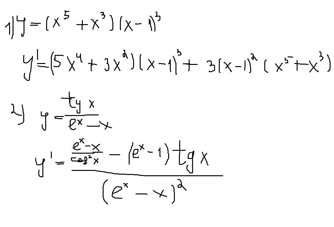
1) y=(x⁵+x³) · (x-1)³
2)
-------------------------------------------------------------------------
y=(x^5=x^3)*(x-1)^3
y=tgx/e^x-x
Ответы
Ответ дал:
0
Ответ:
Пошаговое объяснение:
вот
Приложения:

Вас заинтересует
2 года назад
3 года назад
3 года назад
8 лет назад
8 лет назад