• Предмет: Математика
  • Автор: luttleman
  • Вопрос задан 8 лет назад

Решите пожалуйста дифференциальное уравнение! СРОЧНО!

Приложения:

Ответы

Ответ дал: takushnir
0

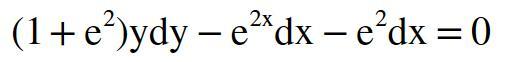
(1+е²)уdy-e²ˣdx-e²dx=0-уравнение с разделяющимися переменными.

(1+е²)уdy-(e²ˣ+e²)dx=0;

(1+е²)уdy=(e²ˣ+e²)dx;

∫(1+е²)уdy=∫(e²ˣ+e²)dx;

(1+е²)у²/2+c₁=e²ˣ/2+e²x+c₂;

у²=2*(e²ˣ/2+e²x+c₂-с₁)/(1+е²)

Вас заинтересует