• Предмет: Алгебра
  • Автор: Аноним
  • Вопрос задан 8 лет назад

Помогите...........​

Приложения:

Ответы

Ответ дал: bel72777
0

Объяснение:

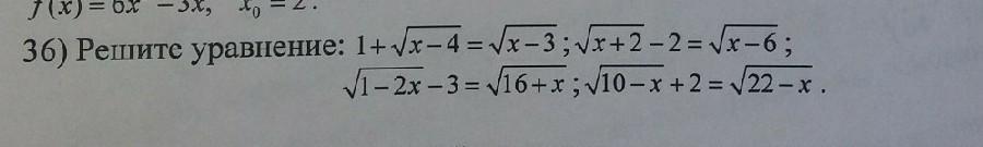
1+2√(х-4) +х-4=х-3

2√(х-4) +х-3-х+3=0

2√(х-4)=0

√(х-4)=0

х-4=0

х=4

х+2-4√(х+2) +4=х-6

х-4√(х+2) +6-х+6=0

12-4√(х+2)=0

4√(х+2)=12

√(х+2)=12/4

х+2=3^2

х=9-2=7

1-2х-6√(1-2х) +9=16+х

10-2х-6√(1-2х)-16-х=0

-6√(1-2х) -6-3х=0

-6√(1-2х)=6+3х

√(1-2х)=(6+3х)/(-6)

1-2х=(-1-0,5х)^2

1-2х=1+х+0,25х^2

1-2х-1-х-0,25х^2=0

-3х-0,25х^2=0

-х(3+0,25х)=0

х1=0

х2= -3/0,25= -12

10-х+4√(10-х) +4=22-х

4√(10-х)=22-х-14+х

√(10-х)=8/4

10-х=2^2

х=10-4=6

Вас заинтересует