• Предмет: Геометрия
  • Автор: headshot002
  • Вопрос задан 8 лет назад

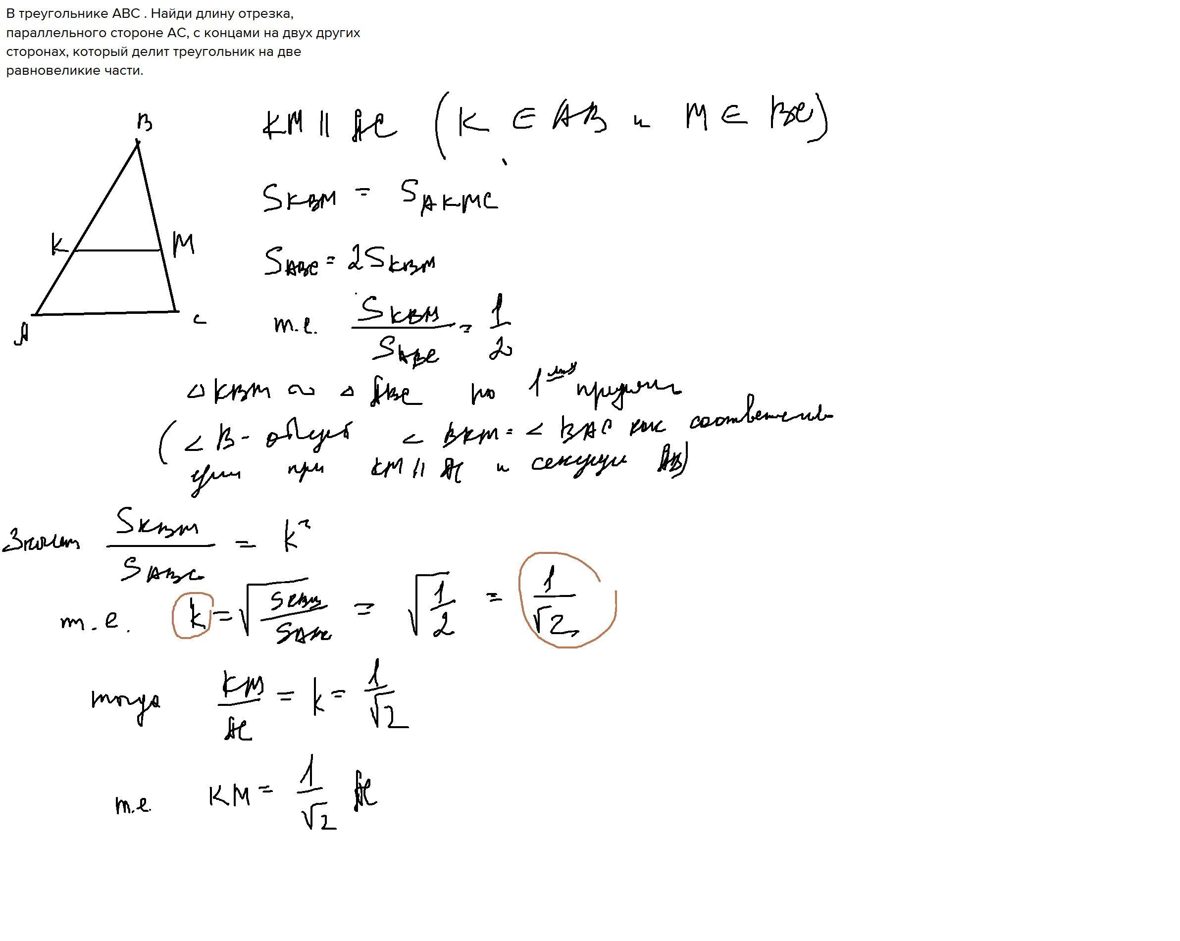
В треугольнике АВС . Найди длину отрезка, параллельного стороне АС, с концами на двух других сторонах, который делит треугольник на две равновеликие части.

Ответы

Ответ дал: vikll
0

Ответ:

Объяснение:

В треугольнике АВС . Найди длину отрезка, параллельного стороне АС, с концами н

Приложения:
Ответ дал: headshot002
0
Что делит треугольник на две равновеликие части?Медиана,но никак не средняя линия-я сам в замешательстве
Ответ дал: vikll
0
Тут дан такой отрезок(не подходящий под определение средней линии тр-ка) соединяющей две стороны и параллельный третьей, делящий тр-к на две равновеликие фигуры -треугольник и трапецию(по определению). Я попытался найти какую часть он составляет от параллельной ему стороны стороны АС.
Вас заинтересует