• Предмет: Математика
  • Автор: giyehopev
  • Вопрос задан 8 лет назад

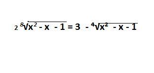
2⁸√x² - x - 1 = 3 - ⁴√x² - x - 1

Приложения:

Ответы

Ответ дал: Gridalex
0
_____________________________₽
Приложения:
Вас заинтересует