• Предмет: Математика
  • Автор: Angel228pain
  • Вопрос задан 8 лет назад

5х2-х+9=0 решите пожалуйста !!!

Ответы

Ответ дал: TUTIOY
0

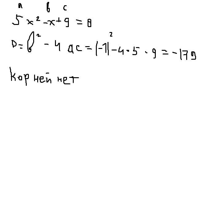
5х²-х+9=0

D=b²-4ac=1-4*5*9=-179

т.к. D<0, то корней нет

Ответ дал: esdesucu
0

Ответ:

Пошаговое объяснение:

Приложения:
Ответ дал: esdesucu
0
ne uspel
Вас заинтересует