• Предмет: Физика
  • Автор: Neytron4
  • Вопрос задан 8 лет назад

помогите с задачей по физике пожалуйста

Приложения:

Ответы

Ответ дал: vlad5748
0

Ответ:

Объяснение:

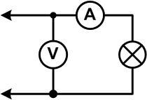
1) схема на рисунке

2) Uл=120 В

3) Rл= Uл/I=120/0,3=400 Ом

4) P=Uл*I=120*0,3=36 Вт

5) Показания вольтметра не изменятся

Приложения:
Вас заинтересует