Ответы
Ответ дал:
0
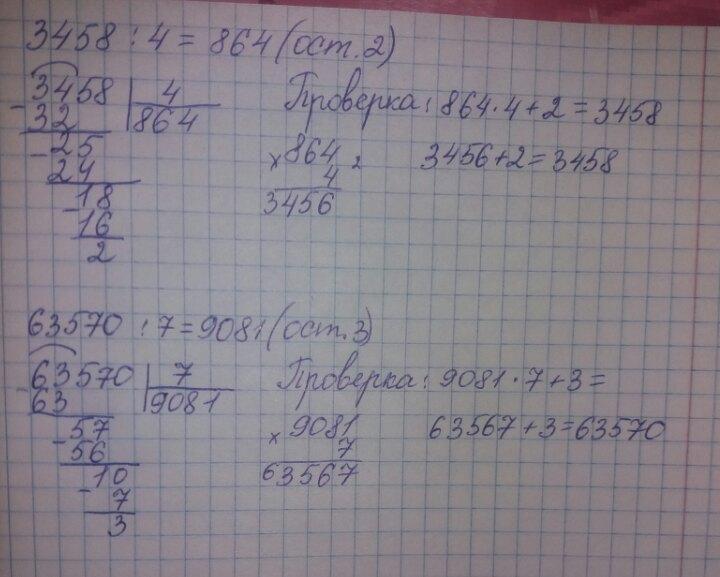
Все ответы, вместе с полным решением и объяснениями, на прикреплённых файлах.
Приложения:
Вас заинтересует
2 года назад
2 года назад
3 года назад
3 года назад
9 лет назад
9 лет назад
10 лет назад