Ответы
Ответ дал:
0
1. =3*1=3
2. =2
3. =7 ^(-1/3):7^(-4/3)=7
4. =5
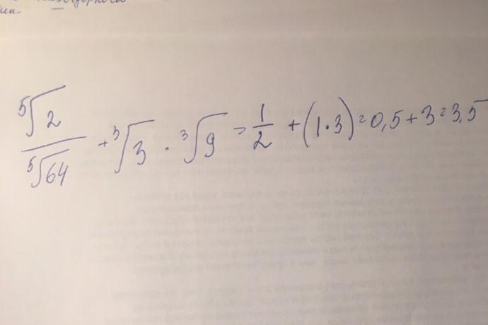
5. =0,5+3=3,5
6.=8/3=2,6
........
дайте знать, если нужно развернутое решение
Приложения:

Ответ дал:
0
можно развёрнутое? мне просто подобные надо
Ответ дал:
0
Можно развернутое?
Ответ дал:
0
5-ой
Ответ дал:
0
спасибо:)
Ответ дал:
0
А можно развернуто все примеры?
Вас заинтересует
2 года назад
2 года назад
3 года назад
3 года назад
8 лет назад
9 лет назад