• Предмет: Математика
  • Автор: malakasha
  • Вопрос задан 8 лет назад

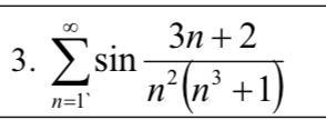
Исследовать сходимость ряда

Приложения:

Ответы

Ответ дал: Correlation
0

displaystyle sum^{infty}_{n=1}sinfrac{3n+2}{n^2(n^3+1)}

displaystyle sinfrac{3n+2}{n^2(n^3+1)}leqslantdfrac{3}{n^4}

Ряд displaystyle sum^{infty}_{n=1}dfrac{3}{n^4} сходится. По первому признаку сравнения данный ряд также сходится.

Вас заинтересует