Ответы
Ответ дал:
1
Ответ:
Объяснение:
вот
Приложения:

Ответ дал:
1
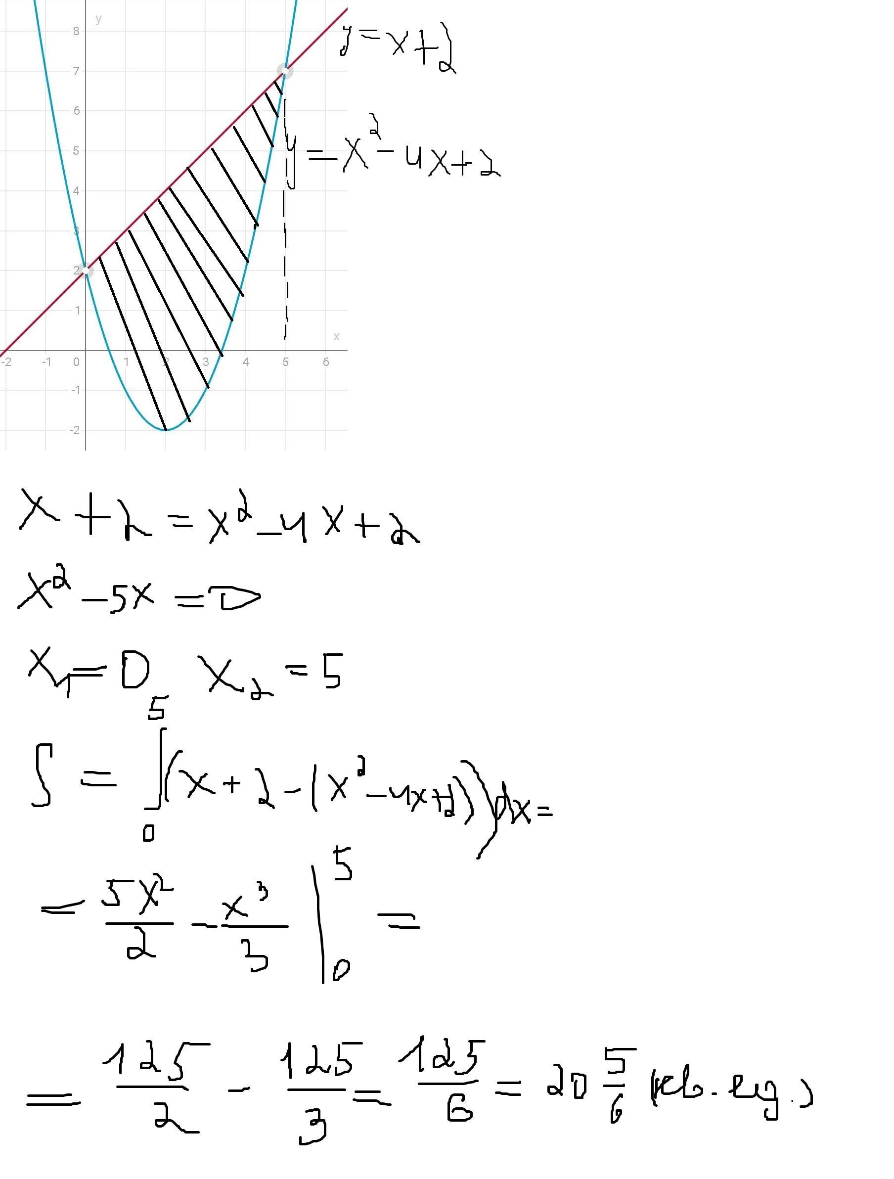
y = x +2 - прямая, проходящая через точки (0;2), (-2;0).
y = x² - 4x + 2 = (x-2)² - 2 — парабола, ветви направлены вверх. Координаты вершины параболы: (2;-2).
Найдем точки пересечения двух графиков, приравнивая их функции
x + 2 = x² - 4x + 2
x² - 5x = 0
x(x-5) = 0
x = 0
x = 5
Площадь фигуры ограниченной линиями:
Ответ: 125/6 кв. ед.
Приложения:

Вас заинтересует
1 год назад
2 года назад
2 года назад
3 года назад
3 года назад