Ответы
Ответ дал:
0
Ответ:
Объяснение:
вот
Приложения:

Ответ дал:
0
откуда 1/2 получается?
Ответ дал:
0
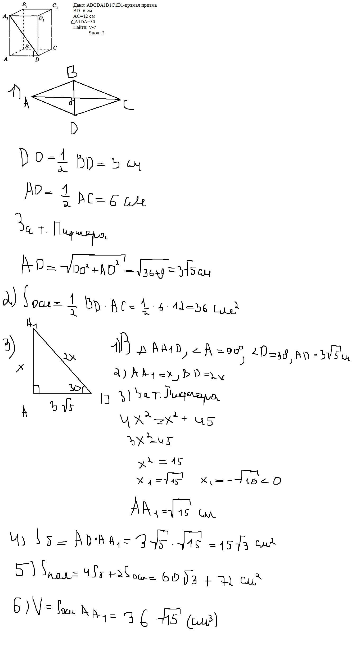
А₁В₁С₁Д₁ -ромб, площадь которого равна А₁С₁*В₁Д₁/2=6*12/2=36/cм²/. Зная половины диагоналей 6/2 и 12/2, можно найти сторону, т.к. диагонали пересекаются под прямым углом. значит. сторона равна √(3²+6²)=
√(9+36)=3√5, ∠СВ₁С₁=30°. т.к. В₁С₁- проекция В₁С на плоскость основания. Тогда высота призмы СС₁=В₁С₁**tg30°=
3√5*(1/√3)=√15
Объем равен произведению площади на высоту. т.е. 36*√15=/см³/
Площадь полной поверхности состоит из двух площадей основания, т.е. 2*36=72, и боковой поверхности 4*В₁С₁*СС₁=4*(3√5)*(√15)=60√3
=4*3*3*5√3=90√3
площадь полной поверхности равна (72+60√3) см²
Приложения:

Вас заинтересует
2 года назад
3 года назад
3 года назад
8 лет назад
8 лет назад
9 лет назад