• Предмет: Математика
  • Автор: vtope1704
  • Вопрос задан 8 лет назад

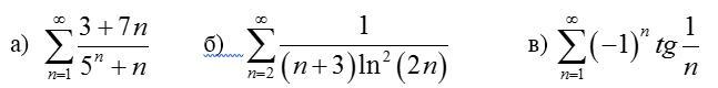
Исследовать на сходимость ряды

Приложения:

Ответа на этот вопрос пока нет. Попробуйте найти его через форму поиска.

Вас заинтересует