Ответы
Единичная функция Хевисайда
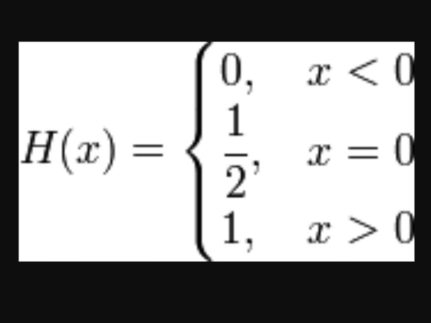
Функция Хевисайда, единичная ступенчатая функция, ступенька положения — специальная математическая функция, чьё значение равно нулю для отрицательных аргументов и единице для положительных аргументов.

Единичная ступенчатая функция Хевисайда - называется функция 1(t) , которая в момент времени t=0 изменяется скачком от нулевого уровня до значения, равного единице:
1(t)={ 0 при t<0 { 1 при t≥0
Широко применяется для математического описания сигналов в электрических цепях, в системах управления и регулирования и в других областях, где изменения/ движения переменных величин (токов, напряжений, сил, перемещений и т.д.) описываются дифф. уравнениями.
Позволяет аналитически исследовать поведение сложных систем при воздействии произвольных сигналов (переменных величин)
