• Предмет: Математика
  • Автор: Ramizanzheli
  • Вопрос задан 8 лет назад

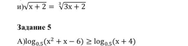
Помогите пожалуйста Решить

Приложения:

Ответы

Ответ дал: lilyatomach
0

Ответ:

решение представлено на фото

Приложения:
Вас заинтересует