• Предмет: Математика
  • Автор: 123gordeev
  • Вопрос задан 8 лет назад

Срочно, нужно решение этих заданий​

Приложения:

Ответы

Ответ дал: lilyatomach
0

Ответ:

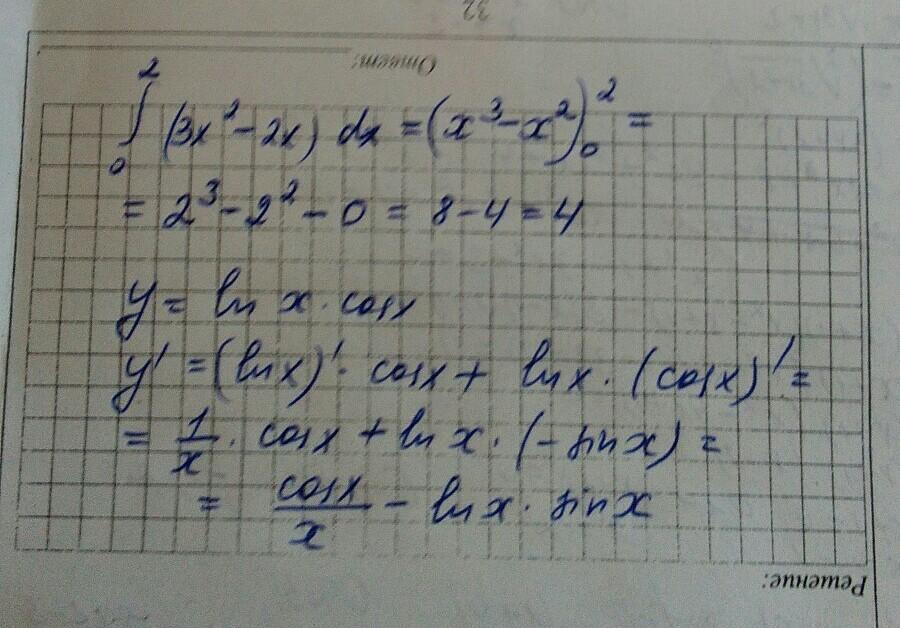
решение представлено на фото

Приложения:
Ответ дал: takushnir
0

Интеграл равен х³-х², подставим пределы интегрировании

2³-2²-0+0=8-4=4

(uv)'=u'v+uv'

(㏑x*(cosx))'=(cosx)/x-sinx*(㏑x)

Приложения:
Вас заинтересует