• Предмет: Математика
  • Автор: Jacksoon95
  • Вопрос задан 8 лет назад

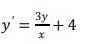
70 Б. Здравствуйте. Ищу помощи с решением уравнения! Найти общий интеграл однородного дифференциального уравнения первого

порядка

Приложения:

Ответы

Ответ дал: Correlation
0

Первый способ.

Так как диф. уравнение однородное, то для него осуществляется замена y = ux, тогда y' = u'x + u, имеем:

u'x+u=3u+4~~~Rightarrow~~~ u'x=2u+2~~~Rightarrow~~~ displaystyle intdfrac{du}{u+1}=int dfrac{2dx}{x}\ \ \ ln|u+1|=ln |x^2|+ln C~~~Rightarrow~~~ u+1=Cx^2~~~Rightarrow~~~ u=Cx^2-1

Выполнив обратную замену u = y/x, имеем:

dfrac{y}{x}=Cx^2-1~~~~Rightarrow~~~~boxed{dfrac{y}{x^3}+dfrac{1}{x^2}=C}

Получили общий интеграл.

Второй способ.

y'-dfrac{3y}{x}=4

Умножим левую и правую части уравнения на mu (x), которое определяется соотношением:

displaystyle mu (x)=e^{int-frac{3}{x}dx}=e^{-3ln |x|}=dfrac{1}{x^3}

dfrac{y'}{x^3}-dfrac{3y}{x^4}=dfrac{4}{x^3}\ \ y'cdot dfrac{1}{x^3}+ycdot left(dfrac{1}{x^3}right)'=dfrac{4}{x^3}~~~~Rightarrow~~~ left(ycdotdfrac{1}{x^3}right)'=dfrac{4}{x^3}

Проинтегрируем обе части уравнения

dfrac{y}{x^3}=displaystyle intdfrac{4}{x^3}dx~~~~Rightarrow~~~ dfrac{y}{x^3}=-dfrac{2}{x^2}+C~~~~Rightarrow~~~ boxed{y=Cx^3-2x}

Получили общее решение.

Вас заинтересует