• Предмет: Алгебра
  • Автор: nemoy99
  • Вопрос задан 8 лет назад

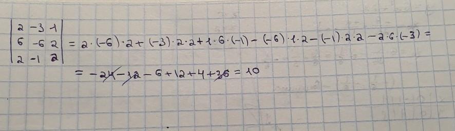
Вычислить определить 3 порядка , помогите

Приложения:

Ответы

Ответ дал: Miroslava227
0

Ответ:

решение на фотографии

Приложения:
Вас заинтересует