• Предмет: Математика
  • Автор: malakasha
  • Вопрос задан 8 лет назад

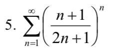
Исследовать ряд на сходимость

Приложения:

Ответы

Ответ дал: viva34
0

Для удобства заменю n на х. Используем признак Коши.

   {{(frac{x + 1}{2x + 1} )}^{x}}^{ (frac{1}{x}) }  =  frac{x + 1}{2x + 1}  = 1 -  frac{1}{2 +  frac{1}{x} }

Предел полученного выражения при n или х стремящемся к бесконечности равен 0.5. Это меньше 1, поэтому ряд сходится

Вас заинтересует