• Предмет: Математика
  • Автор: chakhovvaqum
  • Вопрос задан 8 лет назад

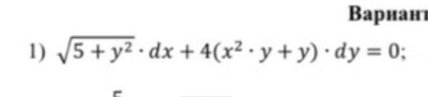
Прошу решить вот это вот недоразумение

Приложения:

Ответы

Ответ дал: Miroslava227
0

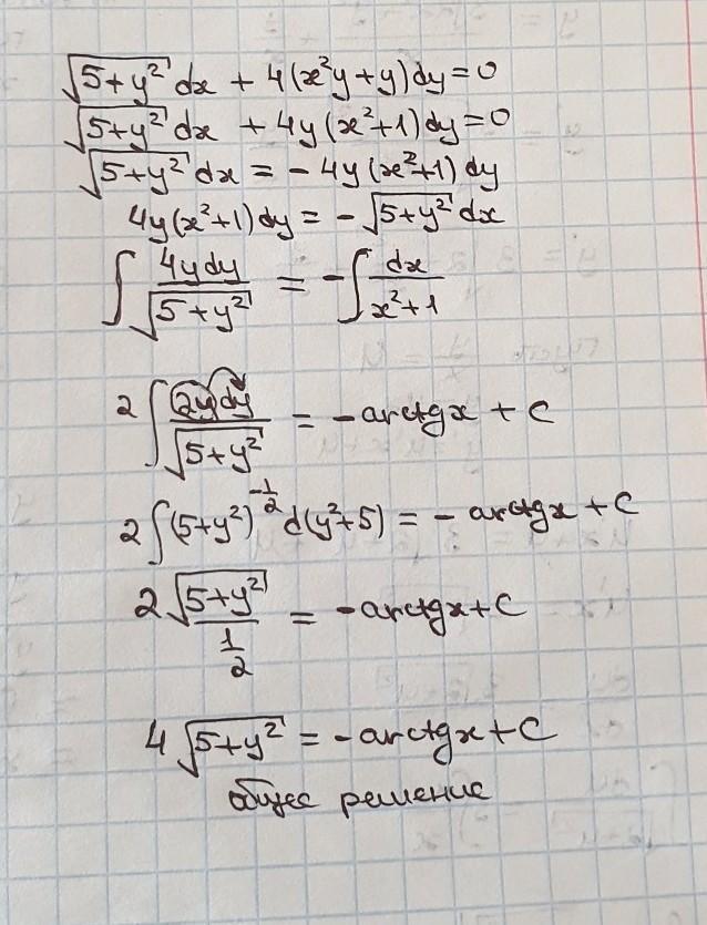
Ответ:

решение на фотографии

Приложения:
Вас заинтересует