• Предмет: Алгебра
  • Автор: gloktonioxrqt0
  • Вопрос задан 8 лет назад

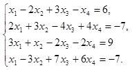
Решить систему уравнений с применением теории матриц:

Приложения:

Ответа на этот вопрос пока нет. Попробуйте найти его через форму поиска.

Вас заинтересует