• Предмет: Математика
  • Автор: LyudaSenchenkova
  • Вопрос задан 8 лет назад

математики,помогите с нахождением предела,который в приложении
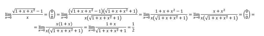
lim стрем.к нулю = корень 1+x+x2(-1 без корня),деленное на x​

Приложения:

Ответы

Ответ дал: zzhash
0

Искомый предел равен ½. А более детально на картинке.

Приложения:
Ответ дал: zzhash
0
Только что проверил Вольфрамом, там тот же ответ. Другое дело, что я в знаменателе уже после первого преобразования ошибся, и должно быть +1, а не -1.
Ответ дал: zzhash
0
Исправил знаменатель на картинке. Ответ всё еще 0.5.
Ответ дал: LyudaSenchenkova
0
можно вам скируть мое решение в лс.скажите,что не так делаю.а то у меня сессия скоро,надо готовиться)
Ответ дал: zzhash
0
Кидайте. Если что, только что еще руками Лопиталем проверил. Опять 0.5. :)
Ответ дал: LyudaSenchenkova
0
ой,не могу вам написать :(
Вас заинтересует