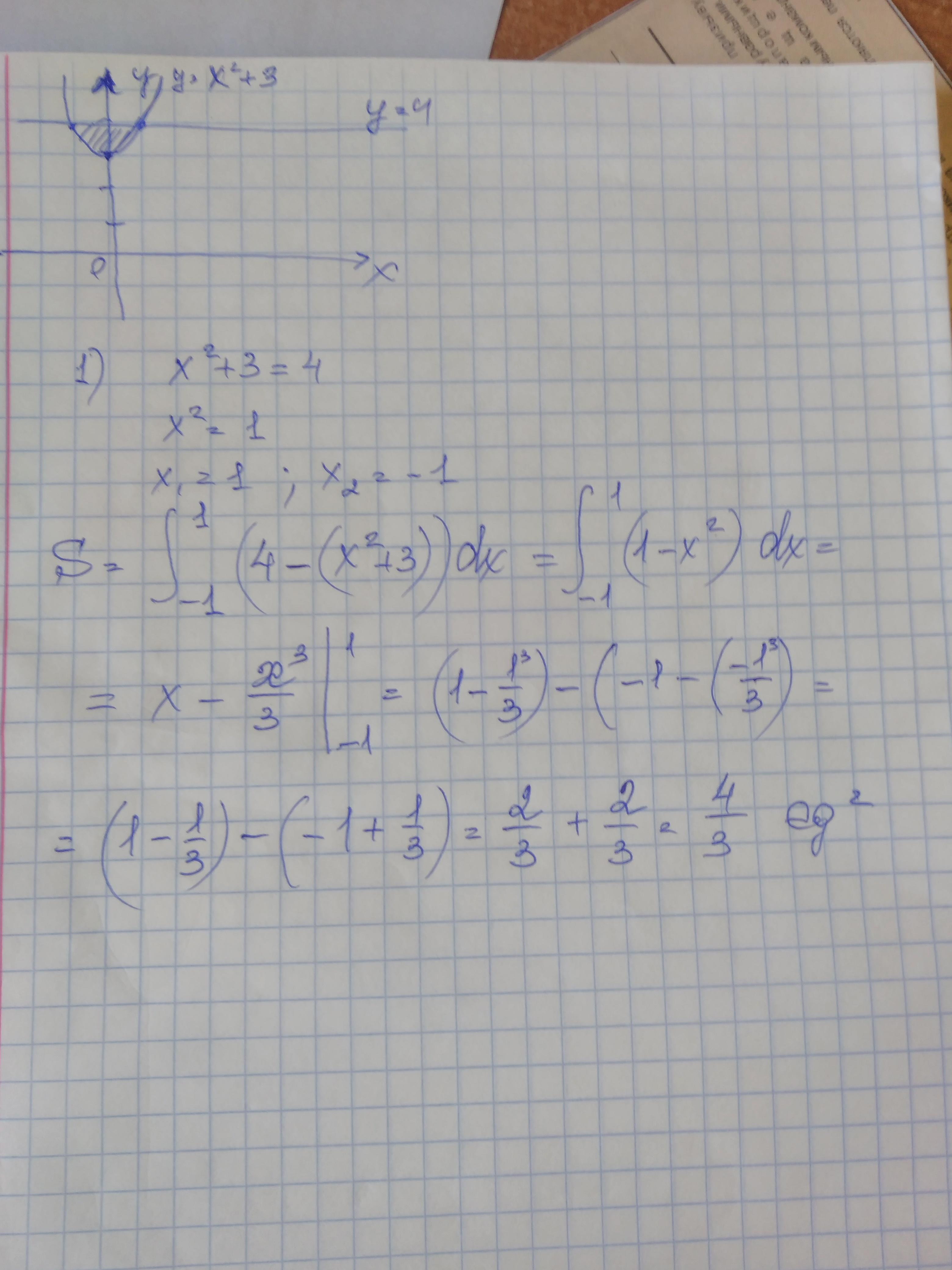
Вычислить площадь плоской фигуры, ограниченной линиями:
y=x²+3; y=4
Помогите решить задание (прикрепляя рисунок/фото) и объясните, как вообще это решать, на что ориентироваться и какие уравнения (вроде так называется, или графики) могут встретиться
Ответы
Ответ дал:
0
Смотри.................................
Приложения:

Вас заинтересует
2 года назад
3 года назад
3 года назад
8 лет назад
9 лет назад