• Предмет: Математика
  • Автор: pavel3007
  • Вопрос задан 8 лет назад

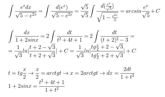
Вычислить неопределённые интегралы:
а) intlimits {e^{x} } , dx /sqrt{5-e^{2x} }
b) intlimits {dx} /1+2sinx

Ответы

Ответ дал: Alexаndr
0

Решение в приложении:

Приложения:
Вас заинтересует