• Предмет: Алгебра
  • Автор: oblov2011
  • Вопрос задан 8 лет назад

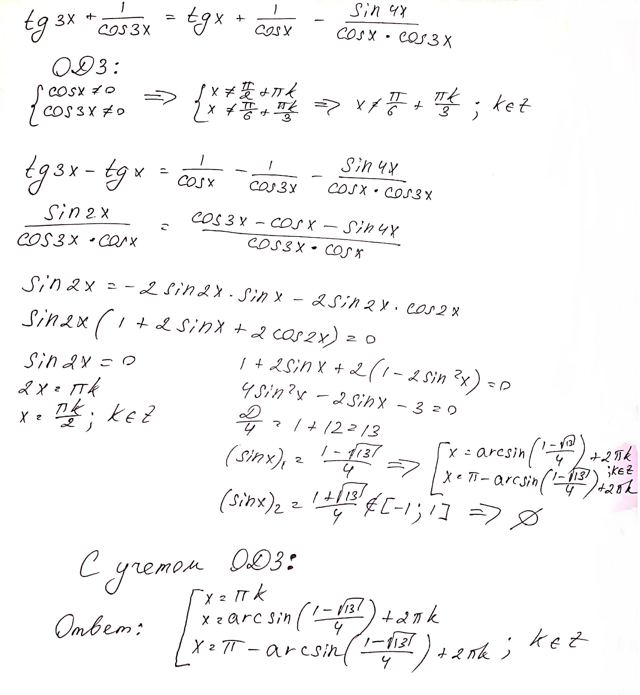
Задача во вложении. Отдаю 50 баллов за решение.

Приложения:

Ответы

Ответ дал: NeZeRAvix
0

Решение в скане.

Ответ: x=πk, x=arcsin((1-√13)/4)+2πk, x=π-arcsin((1-√13)/4)+2πk; k∈Z

Приложения:
Вас заинтересует