• Предмет: Алгебра
  • Автор: oblov2011
  • Вопрос задан 8 лет назад

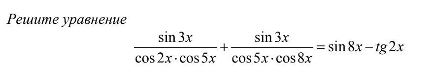
Задача во вложении. Отдаю 50 баллов за решение.

Приложения:

Ответы

Ответ дал: bodan741
0

С ответом не заморачивалса. За сумбур извиняюсь.

Приложения:
Ответ дал: bodan741
0
Если так сильно нужен красивый ответ скажите.
Вас заинтересует