• Предмет: Математика
  • Автор: anna3583
  • Вопрос задан 8 лет назад

Срочно.Теория множеств. помогите пожалуйста доказать.35 балл​

Приложения:

Ответы

Ответ дал: Матов
0

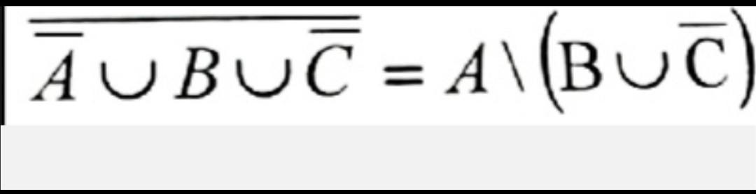
(символ ' означает отрицание , U объединение, & пересечение)  

Первое по закону Де Моргана (2 раза)

(A' U B U C')' =  (A'UC')' & B' = A'' & C'' B' = A & C & B' = A & (C & B') = A & C

Второе так же по закону Де Моргана

A (B U C') = (AB) & (AC') = A & (A & C) = A & C  

Вас заинтересует