• Предмет: Алгебра
  • Автор: iershov99
  • Вопрос задан 8 лет назад

Помогите вычислить значение выражения
Очень нужно
Прям срочно
Заранее спасибо

Приложения:

Ответы

Ответ дал: lilyatomach
0

Ответ:

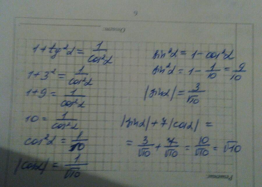
решение представлено на фото

Приложения:
Ответ дал: iershov99
0
Я не поняла откуда мы взяли число ?
Ответ дал: iershov99
0
Откуда мы взяли число 3 и 10?
Ответ дал: lilyatomach
0
какое число?
Ответ дал: lilyatomach
0
3+7*1=10
Ответ дал: iershov99
0
Я уже поняла
Вас заинтересует