• Предмет: Алгебра
  • Автор: AlexPav13
  • Вопрос задан 8 лет назад

Помогите решить:
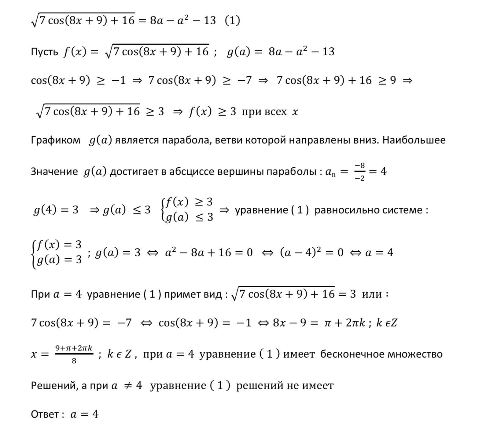
Найдите все значения параметра а, при каждом из которых следующее уравнение имеет хотя бы один корень: (На картинке)

Приложения:

Ответы

Ответ дал: antonovm
0

Ответ:

a = 4

Объяснение:

Приложения:
Вас заинтересует