Ответы
Ответ дал:
0
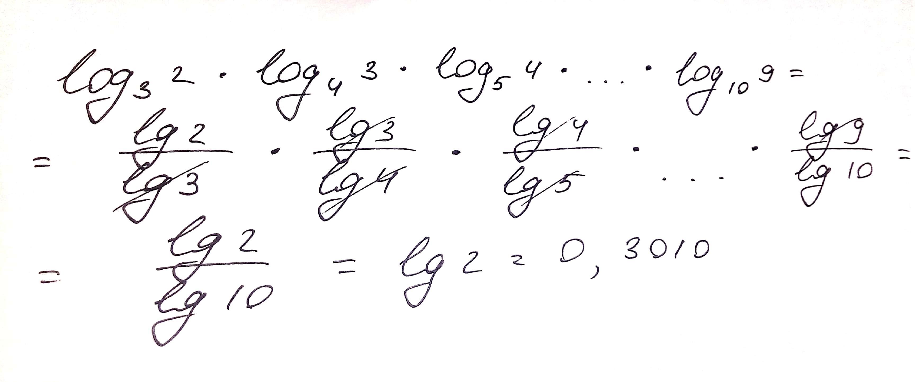
Решение в скане.
Ответ: 0,3010
Приложения:

Вас заинтересует
2 года назад
2 года назад
3 года назад
8 лет назад