• Предмет: Математика
  • Автор: elnur0338
  • Вопрос задан 8 лет назад

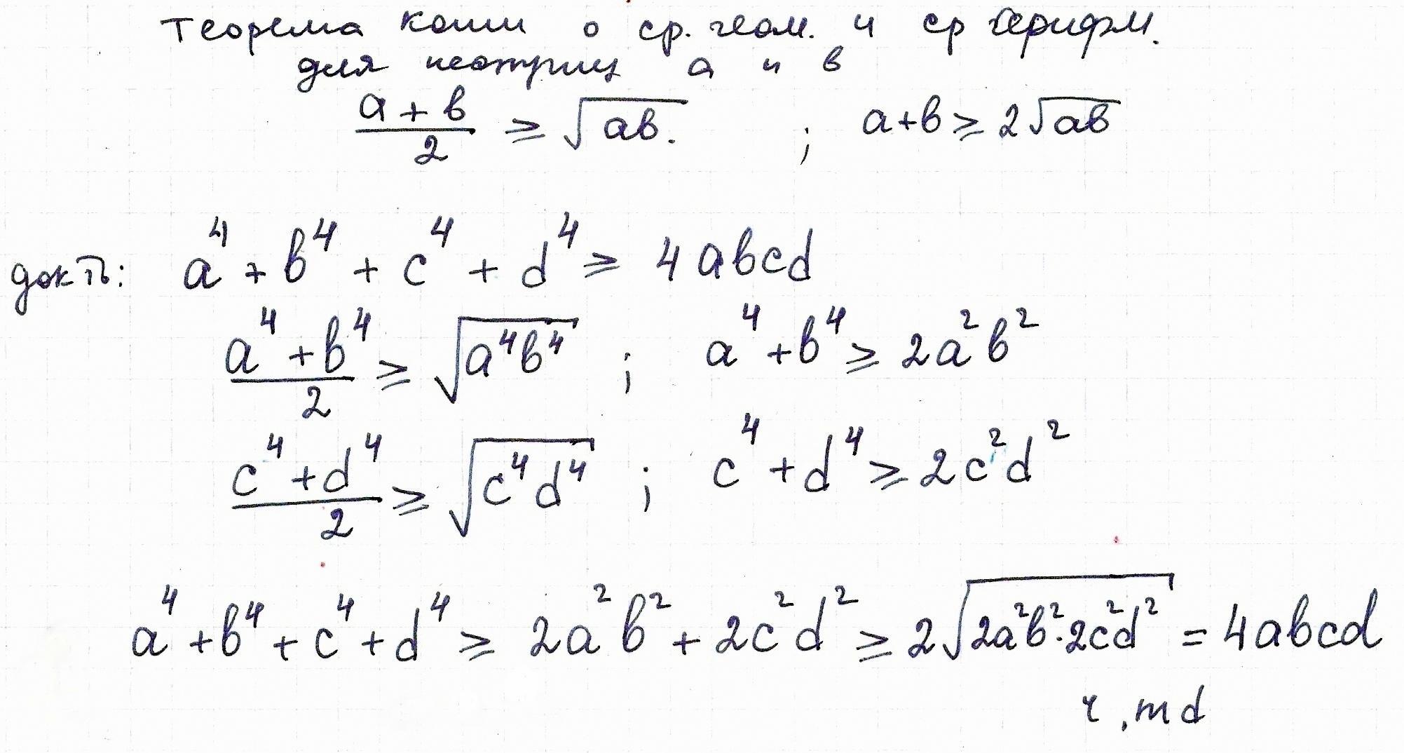
докажите
a^4+b^4+c^4+d^4≥4abcd​

Ответы

Ответ дал: maksimcat
0

Ответ:

Пошаговое объяснение

ответ на фото \\\\\\\\\\\\\\

Приложения:
Ответ дал: bodan741
0

За неравенством Коши:

(x1+x2+x3+...+xn)/n => (x1*x2*x3*...*xn)^1/n

a^4 + b^4 +c^4+d^4 => 4(abcd)^(4*1/4)=4abcd

Приложения:
Вас заинтересует