Ответы
Ответ дал:
0
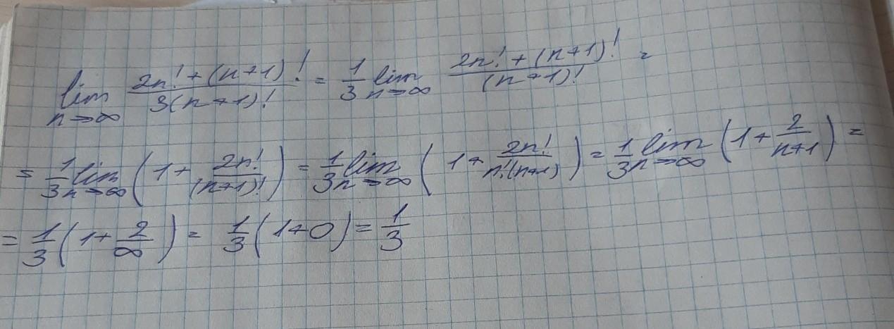
решение на фотографии
Приложения:

Ответ дал:
0
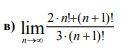
Ответ: решение смотри на фотографии
Пошаговое объяснение:
Приложения:

Вас заинтересует
2 года назад
3 года назад
8 лет назад
9 лет назад