• Предмет: Математика
  • Автор: qweasdzcc
  • Вопрос задан 8 лет назад

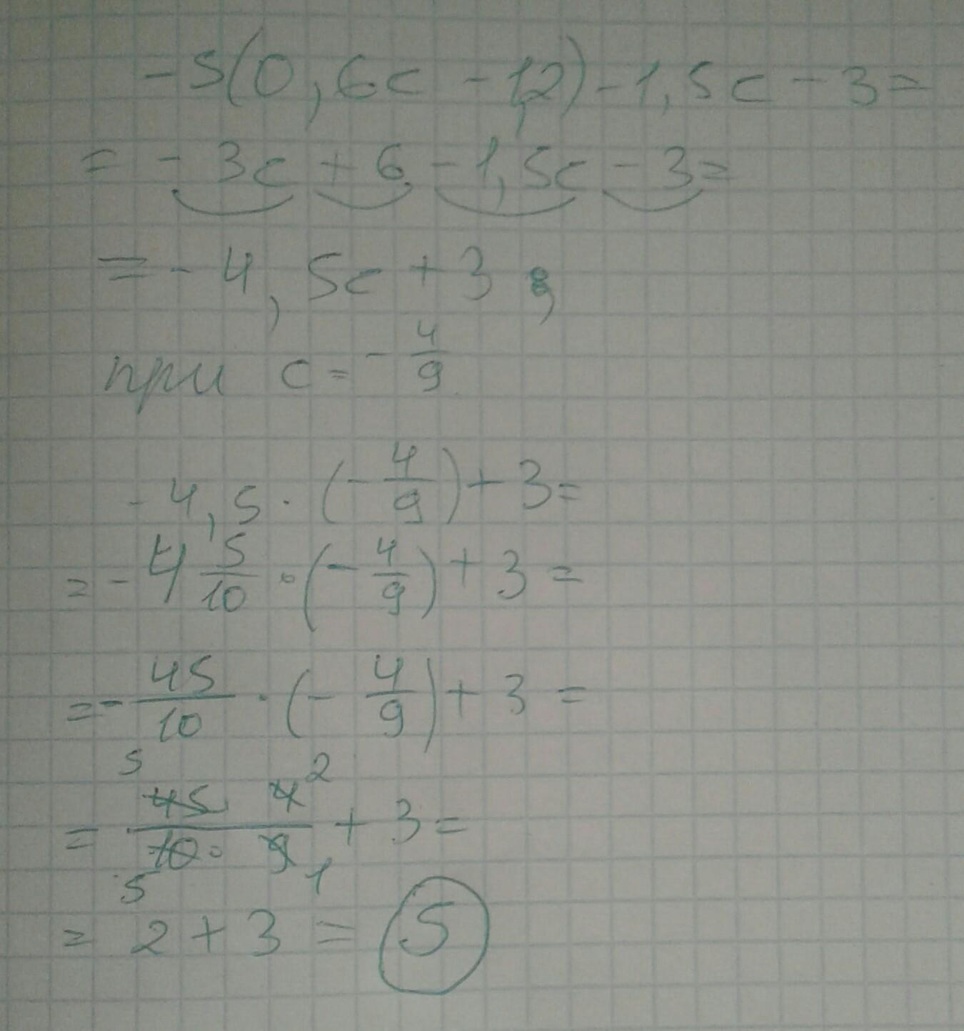
упростите и Вычислите: -5(0,6c-1,2)-1,5c-3 при c = -4/9

Ответы

Ответ дал: Carapace2004
0

Пошаговое объяснение:

Решение представлено на фото

Приложения:
Ответ дал: Аноним
0

Решение во вложении на фото.

Приложения:
Ответ дал: Аноним
0
по
Ответ дал: Аноним
0
жа
Ответ дал: Аноним
0
луй
Ответ дал: Аноним
0
ста
Ответ дал: Аноним
0
спасибо огромное
Вас заинтересует