Ответы
Ответ дал:
0
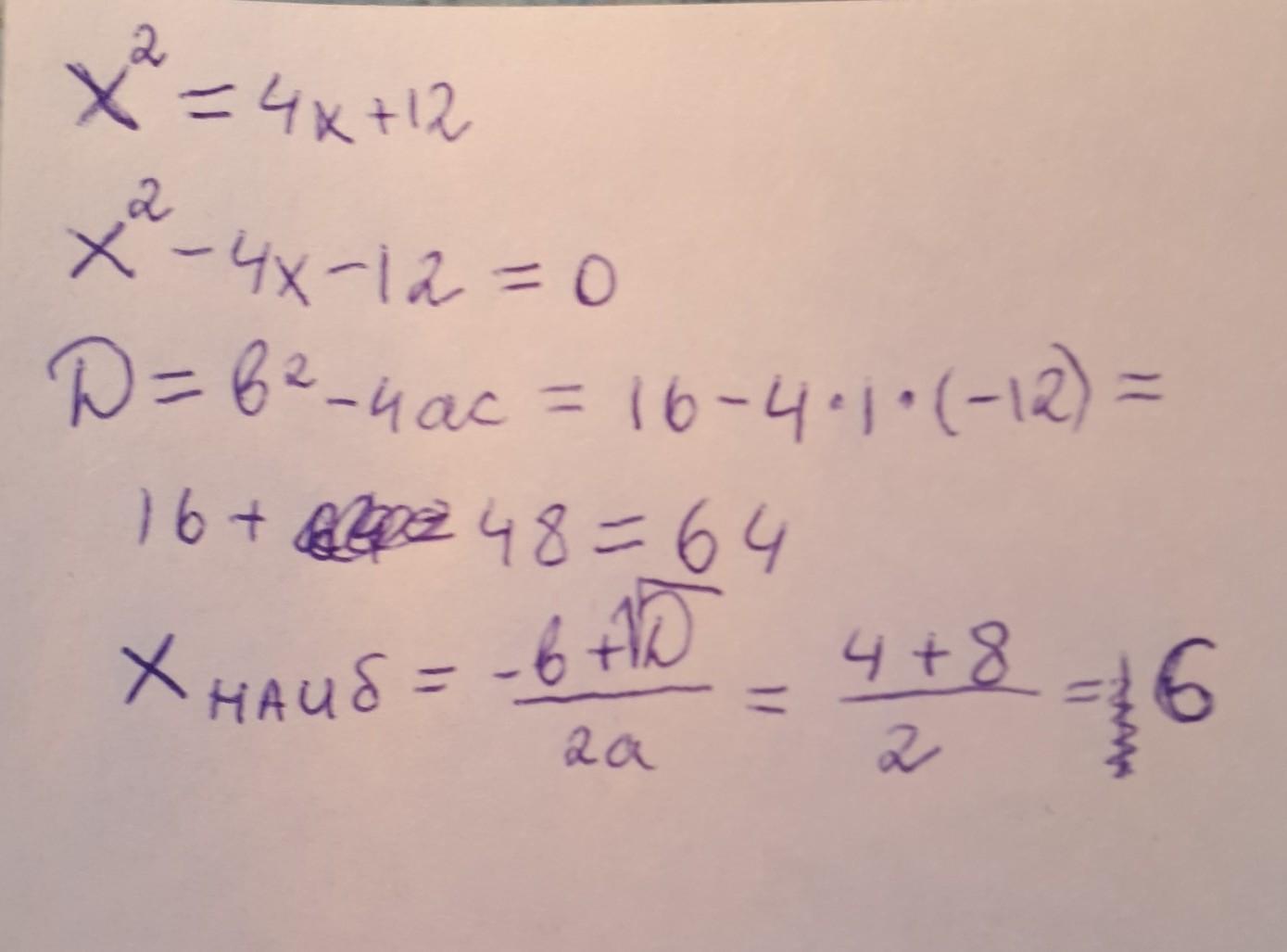
x²-4x-12=0
D= 16+48= 64
x1= (4+8)/2= 6
x2= (4-8)/2= -2
Наибольший корень 6
Ответ дал:
0
Ответ:
6
Пошаговое объяснение:
смотри фотографию;)
(p.s. извиняюсь за почерк))
Приложения:

Вас заинтересует
2 года назад
3 года назад
3 года назад
8 лет назад
8 лет назад
9 лет назад