• Предмет: Математика
  • Автор: boyarkinnikita
  • Вопрос задан 2 года назад

Нужно срочно решить задачу Коши.

Приложения:

Ответы

Ответ дал: Аноним
1

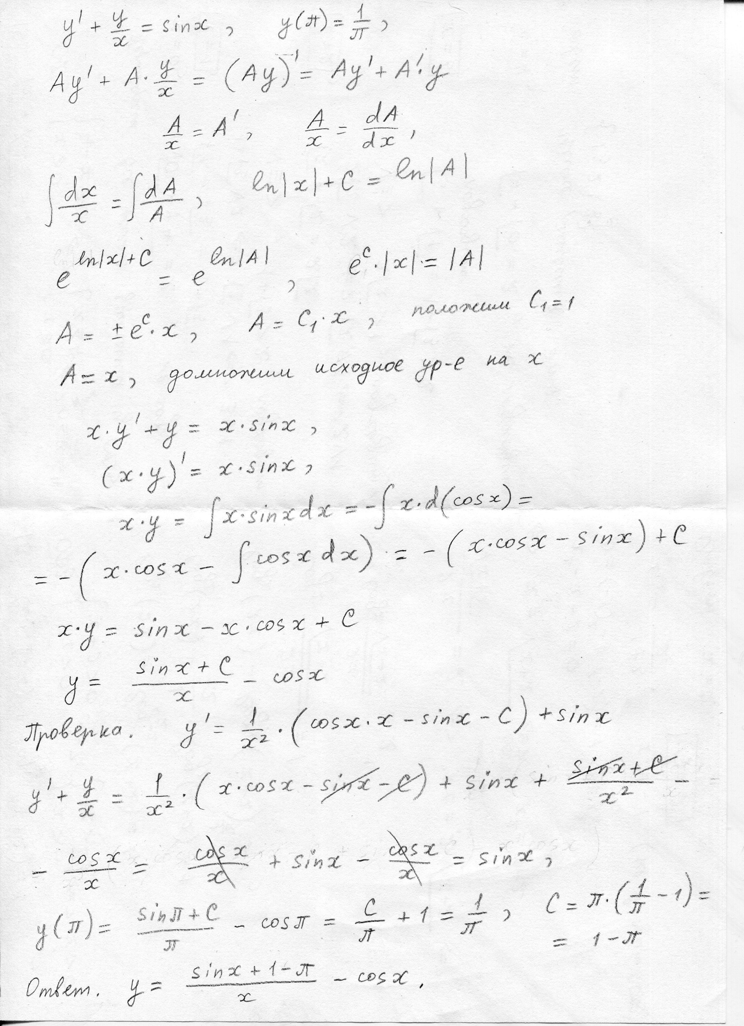
Решение второго задания на листке ===>>

Приложения:
Ответ дал: NNNLLL54
1

y'+\frac{y}{x}=sinx\; \; ,\; \; y(\pi )=\frac{1}{\pi }\\\\y=uv\; ,\; y'=u'v+uv'\\\\u'v+uv'+\frac{uv}{x}=sinx\\\\u'v+u\cdit (v'+\frac{v}{x})=sinx\\\\a)\; \; \frac{dv}{dx}=-\frac{v}{x}\; \; ,\; \; \int \frac{dv}{v}=-\int \frac{dx}{x}\; \; ,\; \; ln|v|=-ln|x|\; \; ,\; \; v=x^{-1}=\frac{1}{x}\\\\b)\; \; u'\cdot \frac{1}{x}=sinx\; \; ,\; \; \frac{du}{dx}\cdot \frac{1}{x}=sinx\; \; ,\; \; \int du=\int x\cdot sinx\, dx\; ,\\\\\int x\cdot sinx\, dx=\Big [\; u=x\; ,\; du=dx\; ,\; dv=sinx\, dx\; ,\; v=-cosx\; \Big ]=

=-x\cdot cosx+\int cosx\, dx=-x\cdot cosx+sinx+C\; ;\\\\u=-x\cdot cosx+sinx+C\\\\c)\; \; y=\frac{1}{x}\cdot (-x\cdot cosx+sinx+C)\\\\y=-cosx+\frac{sinx}{x}+\frac{C}{x}\\\\d)\; \; y(\pi )=\frac{1}{\pi }\, :\; \frac{1}{\pi }=1+0+\frac{C}{\pi }=1+\frac{C}{\pi }\; ,\; \; \frac{C}{\pi }=\frac{1-\pi }{\pi }\; \; ,\; \; C=1-\pi \; ,\\\\y(chastnoe)=-cosx+\frac{sinx}{x}+\frac{1-\pi }{x}

Вас заинтересует