• Предмет: Математика
  • Автор: vmeshkovvv
  • Вопрос задан 2 года назад

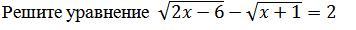
v2x-6-vx+1=2
решите уравнение

Приложения:

mmb1: то что у Вас ручками написано и на картинке - это две разные вещи

Ответы

Ответ дал: lilyatomach
0

Ответ:

решение представлено на фото

Приложения:
Вас заинтересует