• Предмет: Алгебра
  • Автор: vgejnikp8rj9z
  • Вопрос задан 2 года назад

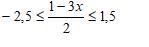
Помогите пж оч надо.

Приложения:

Ответы

Ответ дал: NNNLLL54
1

-2,5\leq\frac{1-3x}{2} \leq 1,5\\\\-5\leq 1-3x\leq 3\\\\-6\leq -3x\leq 2\; \Big |:(-3)\\\\-\frac{2}{3}\leq x\leq 2

Вас заинтересует