• Предмет: Алгебра
  • Автор: insslava
  • Вопрос задан 2 года назад

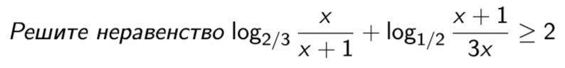
Логарифмические неравенства на картинке

Приложения:

Ответы

Ответ дал: Mihail001192
2

Решение приложено

===========================================================

Приложения:

Dushzhanov987: При потенцированием можно обойтись без условия, что y=lg(t) - возрастающая ф-ция - знак не изменяется?
p.s. Нас всегда учили, что без этого нельзя решать логарифмические неравенства.
insslava: Ну это важное условие , но в решении его нет, потому что оно очевидно, но на экзамене безусловно надо объяснять такие моменты
Вас заинтересует