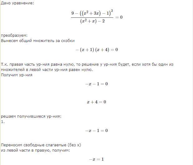
9 - (х²+3х-1)²
__________ = 0
х²+х-2
p.s. моя проблема была в том, что я не знаю, как квадратное уравнение возвести в квадрат
Ответы
Ответ:
Решение уровнения во вложении
Пошаговое объяснение:
Когда возводишь уровнение в квадрат, то ты должен возвести каждое число и буквенное выражение в квадрат.


Не надо возводить в квадрат.
Числитель представляет собой разность квадратов: 9 = 3².
(3 - х²- 3х + 1)(3 + х² + 3х - 1) = (-х²- 3х + 4)(х² + 3х + 2).
Теперь каждый квадратный трёхчлен ( в том числе и в знаменателе) разложим на множители по свойству корней.
-х²- 3х + 4 = 0. Д = 9 -4*(-1)*4 = 25. х1=(3 + 5)/(-2) = -4, х2 = (3 - 5)/(-2) = 1.
(х² + 3х + 2). Д = 9 -4*1*2 = 1. х1=(-3 + 1)/(2) = -1, х2 = (-3 - 1)/(2) = -2.
х² + х - 2 = 0. Д = 1 + 8 = 9. х1 = (-1 + 3)/2= 1, х2 = (-1-3)/2 = -2.
Теперь заданное уравнение можно представить так:
(х + 4)(х - 1)(х + 1)(х + 2)
__________________ = 0.
(х - 1)(х + 2)
При условии, что х ≠ 1 и х ≠ -2, числитель и знаменатель можно сократить на (х - 1)(х + 2).
Остаётся (х + 4)(х + 1) = 0.
Отсюда получаем 2 ответа:
х = -4 и х = - 1.
Так как полученные корни уравнения не равны условию сокращения, значит, оно верно.