Ответы
Ответ дал:
2
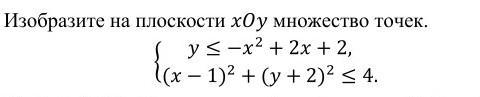
Множество точек, удовлетворяющих неравенству y≤-x²+2x+2 - это часть плоскости ограниченная параболой у= -x²+2x+2 и лежащая внутри этой параболы. Сама парабола у= -x²+2x+2 имеет вершину в точке ( 1,3 ), её ветви направлены вниз .
Множество точек, удовлетворяющих неравенству (x-1)²+(y+2)²≤4 - это часть плоскости, ограниченная окружностью (x-1)²+(y+2)²=4 и находящаяся внутри неё, то есть это круг с центром в точке ( 1, -2) , радиус которого равен R=2 .
Пересечением этих двух множеств являются точки круга вместе с его границей ( окружностью (x-1)²+(y+2)²=4 ) .
На чертеже область заштрихована двумя пересекающимися штриховками.
Приложения:

Вас заинтересует
1 год назад
2 года назад
2 года назад
3 года назад
8 лет назад