• Предмет: Алгебра
  • Автор: llkk2003
  • Вопрос задан 2 года назад

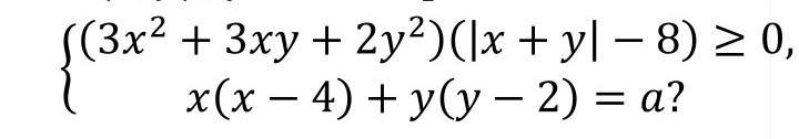
При каких значениях параметра а существует единственная пара чисел (х;у) удовлетворяющая системе

Приложения:

Ответы

Ответ дал: DNHelper
1

Рассмотрим неравенство:

3x^2+3xy+2y^2=3x^2+3xy+0.75y^2+1.25y^2=(\sqrt{3}x+\frac{\sqrt{3}}{2}y)^2+1.25y^2\geq 0

1. Если 3x^2+3xy+2y^2>0, то оно будет равносильно неравенству

|x+y|-8\geq 0\\|x+y|\geq 8\\\left [ {{x+y\geq 8} \atop {x+y\leq -8}} \right. \\\left [ {{y\geq -x+8} \atop {y\leq -x-8}} \right.

Рассмотрим уравнение:

x(x-4)+y(y-2)=x^2-4x+4-4+y^2-2y+1-1=(x-2)^2+(y-1)^2-5\\(x-2)^2+(y-1)^2=a+5

Это окружность с радиусом \sqrt{a+5} и центром (2; 1). Изобразим это графически (см. рис. 1) Единственный случай, когда система имеет единственное решение, представлен на рисунке 1. При увеличении a окружность будет увеличиваться, и система будет иметь бесконечно много решений.

Радиус окружности перпендикулярен прямой y = -x + 8 и проходит через точку (2; 1). Значит, прямая, содержащая этот радиус, имеет вид y = x + m. Подставив x = 2, y = 1, получим m = -1. Найдём точку пересечения прямых y = x - 1 и y = -x + 8:

x-1=-x+8\\2x=9\\x=4.5\\y=4.5-1=3.5

Это точка (4,5; 3,5), то есть центр некоторого квадрата. Заметим, что радиус равен 2,5 диагоналям квадрата со стороной 1. Значит,

\sqrt{a+5}=2.5\sqrt{2}\\a+5=6.25*2\\a=7.5

2. Если 3x^2+3xy+2y^2=0, то x = 0, y = 0. Тогда из уравнения следует, что a = 0. Тогда окружность будет иметь радиус \sqrt{5}<2.5\sqrt{2}. Значит, с областью |x+y|\geq 8 она не будет иметь пересечений, и в данном случае решение единственно (рис. 2).

Ответ: 0; 7,5

Приложения:

mathgenius: Не все учтено. Есть еще точка x=0 , y=0 которая идет из первого уравнения. Нужно учесть случай пересечения окружности этой точки. a=0 тоже удовлетворяет условию.
mathgenius: Я бы пояснил насчет этой точки но сейчас лень рисунок делать. Завтра.
mathgenius: Это хитрое задание , надо быть очень внимательным
llkk2003: не могли бы пояснить насчет этой точки?
DNHelper: Всё, увидел. Я когда делил на первую скобку, не учёл, что она тоже может быть равной нулю. А она равна нулю при x = 0, y = 0, и неравенство выполняется (0 ≥ 0 — верно). И, окружность пересекается с этой точкой, но не пересекается с остальной областью (а оно так и есть), система имеет единственное решение.
DNHelper: Может кто кинуть запрос на исправление?
mathgenius: Отправил
Вас заинтересует