Ответы
Ответ дал:
18
ответ вариант В. Изи бро
Приложения:

Ответ дал:
2
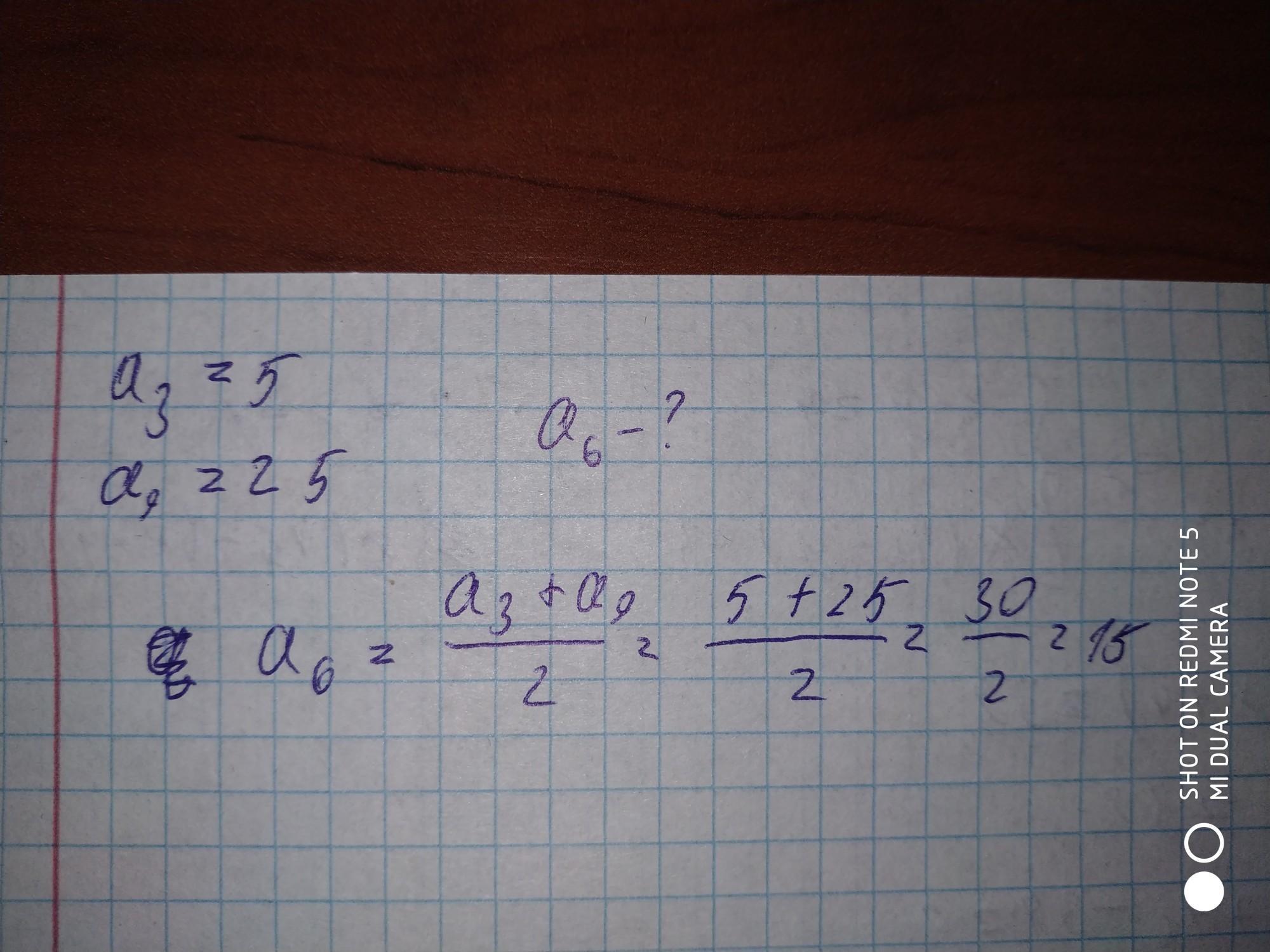
Ответ:
15.
Объяснение:
a3=5=a1+2d,
a9=25=a1+8d,
Вычтем первое уравнение из второго, получим 6d=20, d=10/3, подставим d в любое из этих уравнений, найдем a1=-5/3.
a6=a1+5d=-(5/3)+5*(10/3)=45/3=15.
Вас заинтересует
1 год назад
1 год назад
2 года назад
3 года назад
3 года назад
8 лет назад