• Предмет: Математика
  • Автор: katerniakvasylyna
  • Вопрос задан 2 года назад

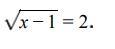
Решить уравнение
Правильный ответ должен быть 5

Приложения:

Ответы

Ответ дал: Trey55
1

Ответ:

\sqrt{x-1}=2\\2=\sqrt{4}\\\sqrt{x-1}=\sqrt{4}\\x-1=4\\x=5

Вас заинтересует