• Предмет: Математика
  • Автор: vasilisakaterniak
  • Вопрос задан 2 года назад

Решите уравнения
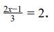
В первом уравнение ответ должен быть 3 целых 1/2
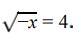
Во втором -16
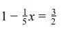
И в третьем -5/2
Ответы знаю, решение пожалуйста

Приложения:

Ответы

Ответ дал: risk06
1

Ответ:

Пошаговое объяснение:

1)(2x-1)/3=2(умножим на 3)

2x-1=2*3

2x=6+1

x=7/2

x=3 1/2;

2) √-x =4(возведем в квадрат)

-x=4²(умножим на (-1))

x=-16.

3) 1=3/2+1/5*x (перенес 1/5*x)(перенесем 3/2)

1/5*x=1-3/2;

1/5*x= - 1/2;( умножаем на 10);

2x=-5

x=-5/2.

Вас заинтересует