• Предмет: Математика
  • Автор: vasilisakaterniak
  • Вопрос задан 2 года назад

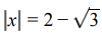
Сколько решений имеет уравнение?
С объяснением пожалуйста

Приложения:

Ответы

Ответ дал: Аноним
0

Правая часть уравнения - положительное число. Поэтому уравнение имеет два решения (по определению абсолютной величины).

x₁ = 2 - √3

x₂ = √3 - 2

Ответ дал: matilda17562
1

Ответ:

уравнение имеет два корня

Пошаговое объяснение:

l x l = 2 - √3

Оценим правую часть уравнения:

2 - √3 = √4 - √3. Так как 4 > 3, то и √4  > √3, √4 - √3 > 0,  2 - √3 > 0.

Так как правая часть  уравнения положительна, уравнение имеет два противоположных корня.

l x l = 2 - √3

х = 2 - √3 или х = - 2 + √3.

Ответ: уравнение имеет два корня.

Вас заинтересует