Ответы
Ответ дал:
2
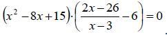
Сумма корней 3. Решение задания приложено
Приложения:

regaska81:
сумма корней уравнения - 3, верно?
x1+x2=8
x1x2=15
Ответ дал:
1
- сумма корней.
Вас заинтересует
1 год назад
1 год назад
2 года назад
2 года назад
3 года назад
3 года назад
8 лет назад