• Предмет: Алгебра
  • Автор: alcatraz2002
  • Вопрос задан 2 года назад

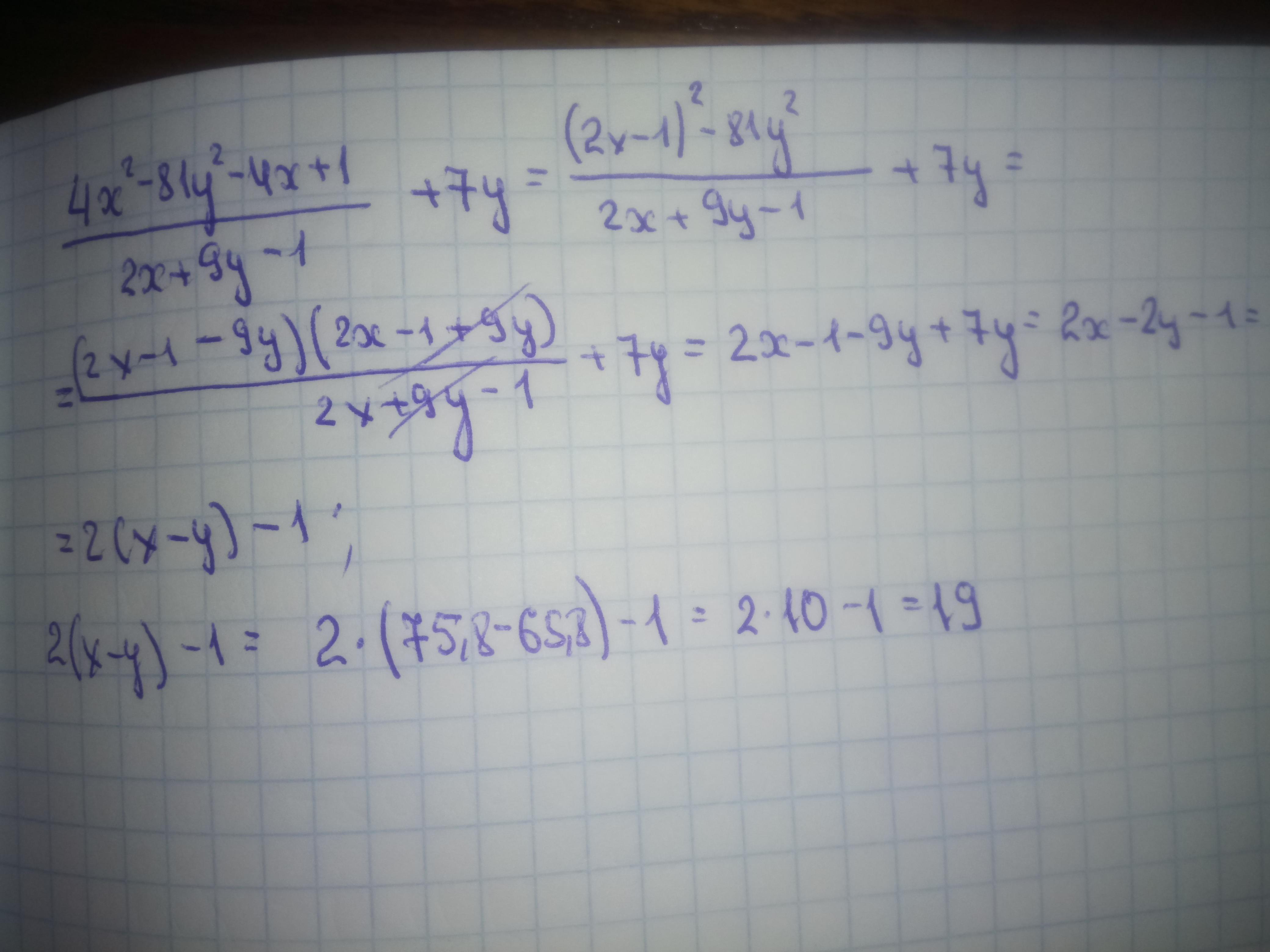
Найдите значение выражения (4x^2-81y^2-4x+1/(2x+9y-1))+7y, при х=75,8 и у=65,8

Ответы

Ответ дал: Reideen
1

Решение в приложении.

Приложения:
Ответ дал: Аноним
1

Ответ 19. Решение задания приложено

Приложения:
Вас заинтересует